
近日发表在《科学进展》上的一篇新研究,揭示了掺有钌的铀钴铝体系具有极强的自旋轨道耦合和电子相关性,并且创下了振奋人心的能斯特电导率纪录。SCITechDaily 指出,这类合金在材料拓补与强电子相关性研究领域拥有光明的前景,或于未来某天在量子信息技术中得到应用。
新研究表明,这种铀-钴-钌-铝合金具有很强的热电特性,热量产生的横向电压,是前纪录保持者(钴-锰-镓化合物)的四倍。
这一结果为元素周期表底部的锕系元素挖掘出了新的潜力,并为拓补量子材料的研究指明了新的方向。
研究配图 - 1:晶体结构与理论计算
在 2021 年 3 月 26 发表于《科学进展》期刊的这篇文章(传送门)中,首席研究员 Filip Ronning 介绍了他们在铀-钴-铝体系中发在的大自旋轨道耦合和强电子相关性。
极其反常的能斯特电导率,表明铀和锕系合金在材料拓补与强电子相关性研究方面很有前途。随着理解和调节的深入,我们有望在未来某一天成功利用其中的一些出色反应。
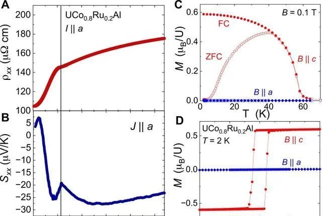
研究配图 - 2:纵向传输与磁化性质
当材料将热流转换成电压时,机会产生能斯特响应,这种热电现象可用于从热源发电的设备中。
当前最著名的例子,包括洛斯阿拉莫斯(Los Alamos)国家实验室部分开发的放射性同位素热电发生器(RTG)、以及毅力号火星车上。
研究配图 - 3:铀合金材料产生的巨大的反常横向响应
更激动人心的是,这种反常的巨大能斯特效应,似乎是由材料本身丰富的拓补结构所引发的。
金属拓补结构的一种结果,就是催生了横向速度。除了能斯特响应,还可用于其它效应,比如有望在各种量子信息技术中得到应用的新颖的表面状态。
研究配图 - 4:各种磁体的反常霍尔和珀尔帖电导率
最终,洛斯阿拉莫斯研究团队新开发的铀合金系统,可达成每开尔文温差 @ 23 微伏的电压,是此前同样归于此类拓补的钴-锰-镓合金的四倍。
有关这项研究的详情,可移步至 Science Advances 期刊上查看,原标题为《Colossal anomalous Nernst effect in a correlated noncentrosymmetric kagome ferromagnet》。